Упр.7.39 ГДЗ Дорофеев Суворова 7 класс (Алгебра)
Решение #1

Рассмотрим вариант решения задания из учебника Дорофеев, Суворова, Бунимович 7 класс, Просвещение:
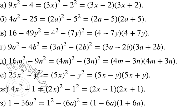
а) 9x2 - 4;
б) 4а2 - 25;
в) 16 - 49у2;
г) 9а2 - 4b2;
д) 16m2 - 9n2;
е) 25x2 - у2;
ж) 4x2 - 1;
з) 1 - 36а2.
Популярные решебники 7 класс Все решебники
*размещая тексты в комментариях ниже, вы автоматически соглашаетесь с пользовательским соглашением