Упр.677 ГДЗ Мерзляк Полонский 7 класс (Алгебра)
Решение #1 (Учебник 2025)
Решение #2 (Учебник 2025)
Решение #3 (Учебник 2021)
Решение #4 (Учебник 2021)

Рассмотрим вариант решения задания из учебника Мерзляк, Полонская, Якир 7 класс, Вентана-Граф:
Разность квадратов двух двузначных чисел, записанных одними и теми же цифрами, равна 693. Найдите эти числа.
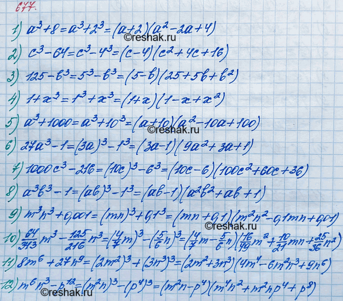
Разложите на множители:
1) а3 + 8;
2) с3 - 64;
3) 125 - b3;
4) 1 + х3;
5) а3 +1000;
6) 27а3 -1;
7) 1000с3 - 216 ;
8) а3b3 -1;
9) m3n3 + 0,001;
10) 64/343*m3 - 125/216*n3;
11) 8m6+27n9;
12) m6n3 - р12;
13) 0,027х21 + 0,125y24;
14) 0,216 - 8с27;
15) 1000а12b3 + 0,001c6d15.
Похожие решебники
Популярные решебники 7 класс Все решебники
*К сожалению, временные проблемы с публикацией комментариев с мобильных устройств.