Упр.675 ГДЗ Мерзляк Полонский 7 класс (Алгебра)
Решение #1 (Учебник 2025)
Решение #2 (Учебник 2025)
Решение #3 (Учебник 2021)
Решение #4 (Учебник 2021)

Рассмотрим вариант решения задания из учебника Мерзляк, Полонская, Якир 7 класс, Вентана-Граф:
Докажите, что:
1) разность квадратов двух последовательных чётных чисел равна удвоенной сумме этих чисел;
2) разность квадратов двух последовательных нечётных чисел делится нацело на 8.
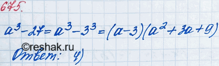
Какому из данных выражений тождественно равен многочлен а3-27:
1) (а - 3)(а2 + 6а + 9);
2) (а - 3) (а2 - 9);
3) (а - 3)(а2 - 3а + 9);
4) (а - 3) (а2 + 3а + 9)?
Похожие решебники
Популярные решебники 7 класс Все решебники
*К сожалению, временные проблемы с публикацией комментариев с мобильных устройств.