🔥ГДЗ под запретом?

Упр.676 ГДЗ Никольский Потапов 9 класс (Алгебра)

Решение #1

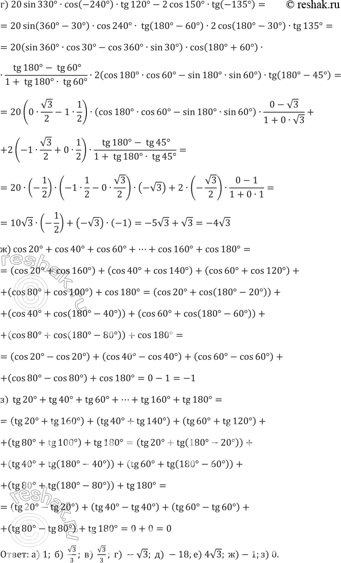
Изображение 676. Вычислите:a) tg 135°;	6) ctg	120°;	в) tg210°; г) ctg 330°;д) 12 sin 120° tg 300° ctg 225°;е) 20 sin 330° cos (-240°) tg 120° - 2 cos 150° tg (-135°);ж) cos...
Дополнительное изображение

Решение #2

Изображение 676. Вычислите:a) tg 135°;	6) ctg	120°;	в) tg210°; г) ctg 330°;д) 12 sin 120° tg 300° ctg 225°;е) 20 sin 330° cos (-240°) tg 120° - 2 cos 150° tg (-135°);ж) cos...
Дополнительное изображение

Рассмотрим вариант решения задания из учебника Никольский, Потапов 9 класс, Просвещение:
676. Вычислите:
a) tg 135°; 6) ctg 120°; в) tg210°; г) ctg 330°;
д) 12 sin 120° tg 300° ctg 225°;
е) 20 sin 330° cos (-240°) tg 120° - 2 cos 150° tg (-135°);
ж) cos 20° + cos40° + cos60° + ... + cos 160° + cos 180°;
з) tg20° + tg40° + tg60° + ... + tgl60° + tg 180°.
*Цитирирование задания со ссылкой на учебник производится исключительно в учебных целях для лучшего понимания разбора решения задания.
*К сожалению, временные проблемы с публикацией комментариев с мобильных устройств.