🔥ГДЗ под запретом?

Упр.682 ГДЗ Никольский Потапов 9 класс (Алгебра)

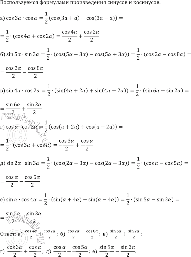
Решение #1

Изображение 682. Преобразуйте в сумму или разность:a) cos За cos а;	б) sin 5а sin За;	в) sin 4а cos 2а;г) cos а cos 2а;	д) sin 2а sin За;	е) sin а cos...

Решение #2

Изображение 682. Преобразуйте в сумму или разность:a) cos За cos а;	б) sin 5а sin За;	в) sin 4а cos 2а;г) cos а cos 2а;	д) sin 2а sin За;	е) sin а cos...

Рассмотрим вариант решения задания из учебника Никольский, Потапов 9 класс, Просвещение:
682. Преобразуйте в сумму или разность:
a) cos За cos а; б) sin 5а sin За; в) sin 4а cos 2а;
г) cos а cos 2а; д) sin 2а sin За; е) sin а cos 4а.
*Цитирирование задания со ссылкой на учебник производится исключительно в учебных целях для лучшего понимания разбора решения задания.
*К сожалению, временные проблемы с публикацией комментариев с мобильных устройств.