🔥ГДЗ под запретом?

Упр.679 ГДЗ Никольский Потапов 9 класс (Алгебра)

Решение #1

Изображение 679.	a)  tgа/2=(1-cosа)/sinа     6)  tgа/2=sinа/(1+cosа )    в) sin 2a (sin 2a + sin 2b) + cos 2a (cos 2a + cos 2b) = 2 cos^2 (a - b); г) sin 2a (sin 2a - sin...
Дополнительное изображение
Дополнительное изображение

Решение #2

Изображение 679.	a)  tgа/2=(1-cosа)/sinа     6)  tgа/2=sinа/(1+cosа )    в) sin 2a (sin 2a + sin 2b) + cos 2a (cos 2a + cos 2b) = 2 cos^2 (a - b); г) sin 2a (sin 2a - sin...
Дополнительное изображение
Дополнительное изображение
Дополнительное изображение

Рассмотрим вариант решения задания из учебника Никольский, Потапов 9 класс, Просвещение:
679.
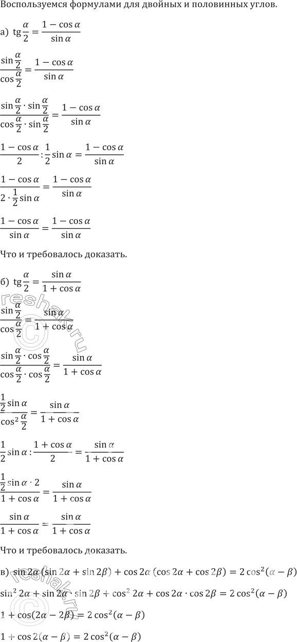
a) tgа/2=(1-cosа)/sinа
6) tgа/2=sinа/(1+cosа )
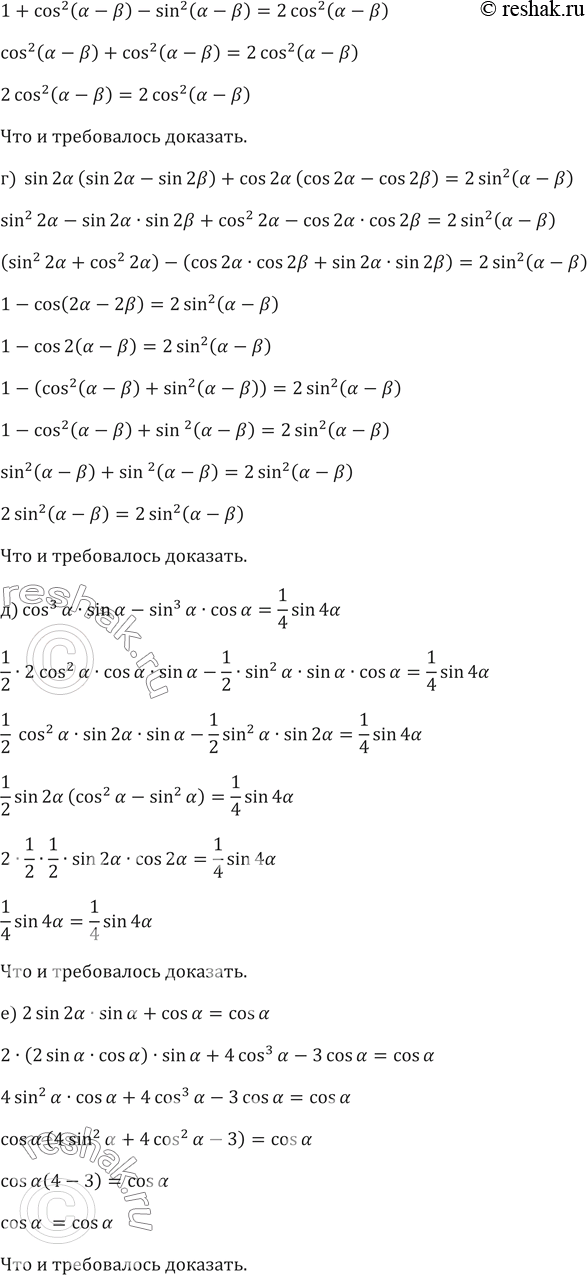
в) sin 2a (sin 2a + sin 2b) + cos 2a (cos 2a + cos 2b) = 2 cos^2 (a - b);
г) sin 2a (sin 2a - sin 2b) + cos 2a (cos 2a - cos 2b) = 2 sin^2 (a - b);
д) cos^3 a sin a - sin^3 a cos a = - sin 4a;
е) 2 sin 2a sin a + cos 3a = cosa;
ж) 1 + 2 cos 2a + cos 4a = 4 cos^2 a cos 2a;
з) 1 + 2 cos 3a + cos 6a = 4 cos^2 (3a/2)cos 3a;
и) sin 3a = 3 sin a - 4 sin^3 a;
к) cos 3a = 4 cos^3 a - 3 cos a.
*Цитирирование задания со ссылкой на учебник производится исключительно в учебных целях для лучшего понимания разбора решения задания.
*К сожалению, временные проблемы с публикацией комментариев с мобильных устройств.