🔥ГДЗ под запретом?

Упр.671 ГДЗ Никольский Потапов 9 класс (Алгебра)

Решение #1

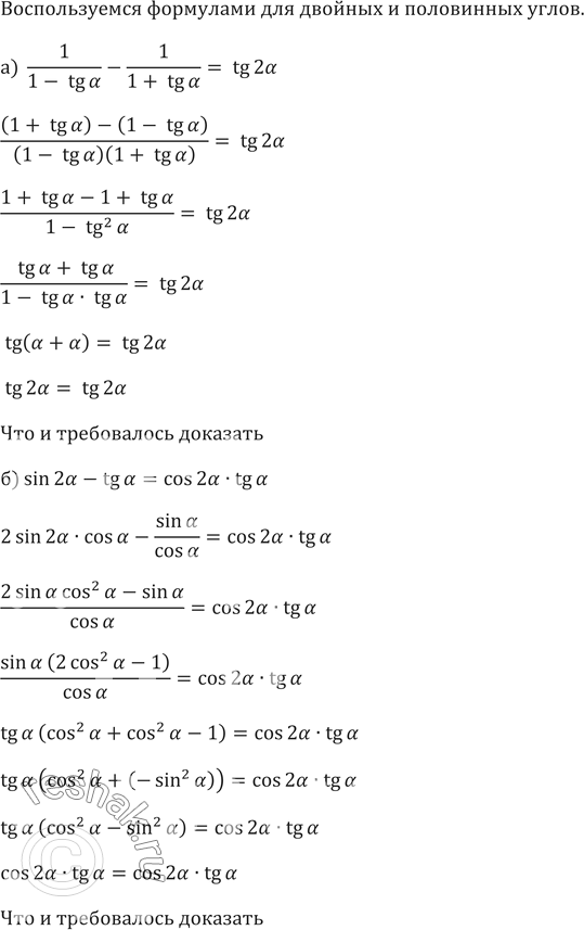
Изображение 671. Доказываем. Докажите справедливость равенства:а)  1/(1-tgа )-1/(1+tg а )= tg 2аб) sin 2а-tgа=cos 2а•tg...

Решение #2

Изображение 671. Доказываем. Докажите справедливость равенства:а)  1/(1-tgа )-1/(1+tg а )= tg 2аб) sin 2а-tgа=cos 2а•tg...

Рассмотрим вариант решения задания из учебника Никольский, Потапов 9 класс, Просвещение:
671. Доказываем. Докажите справедливость равенства:
а) 1/(1-tgа )-1/(1+tg а )= tg 2а
б) sin 2а-tgа=cos 2а•tg а
*Цитирирование задания со ссылкой на учебник производится исключительно в учебных целях для лучшего понимания разбора решения задания.
*К сожалению, временные проблемы с публикацией комментариев с мобильных устройств.