🔥ГДЗ под запретом?

Упр.654 ГДЗ Никольский Потапов 9 класс (Алгебра)

Решение #1

Изображение 654. Чему равен квадрат:а) синуса половинного угла;б) косинуса половинного...

Решение #2

Изображение 654. Чему равен квадрат:а) синуса половинного угла;б) косинуса половинного...

Рассмотрим вариант решения задания из учебника Никольский, Потапов 9 класс, Просвещение:
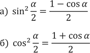
654. Чему равен квадрат:
а) синуса половинного угла;
б) косинуса половинного угла?
*Цитирирование задания со ссылкой на учебник производится исключительно в учебных целях для лучшего понимания разбора решения задания.
*К сожалению, временные проблемы с публикацией комментариев с мобильных устройств.