🔥ГДЗ под запретом?

Упр.651 ГДЗ Никольский Потапов 9 класс (Алгебра)

Решение #1

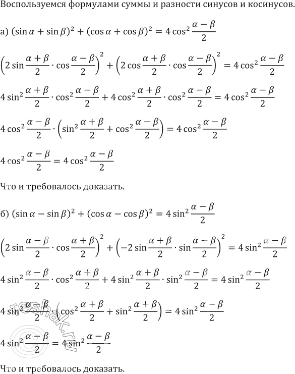
Изображение 651. a) (sin a + sin b)^2 + (cos a + cos b)^2 = 4 cos^2 (a-b)/2;б) (sin a - sin b)^2 + (cos a - cosb)^2 = 4 sin^2...

Решение #2

Изображение 651. a) (sin a + sin b)^2 + (cos a + cos b)^2 = 4 cos^2 (a-b)/2;б) (sin a - sin b)^2 + (cos a - cosb)^2 = 4 sin^2...

Рассмотрим вариант решения задания из учебника Никольский, Потапов 9 класс, Просвещение:
651. a) (sin a + sin b)^2 + (cos a + cos b)^2 = 4 cos^2 (a-b)/2;
б) (sin a - sin b)^2 + (cos a - cosb)^2 = 4 sin^2 (a-b)/2
*Цитирирование задания со ссылкой на учебник производится исключительно в учебных целях для лучшего понимания разбора решения задания.
*К сожалению, временные проблемы с публикацией комментариев с мобильных устройств.