🔥ГДЗ под запретом?

Упр.659 ГДЗ Никольский Потапов 9 класс (Алгебра)

Решение #1

Изображение 659.а)sin2пи/8-  cos^2пи/8б) 2sin50°•sin40°в)  cos^215°-cos^275°г)...

Решение #2

Изображение 659.а)sin2пи/8-  cos^2пи/8б) 2sin50°•sin40°в)  cos^215°-cos^275°г)...

Рассмотрим вариант решения задания из учебника Никольский, Потапов 9 класс, Просвещение:
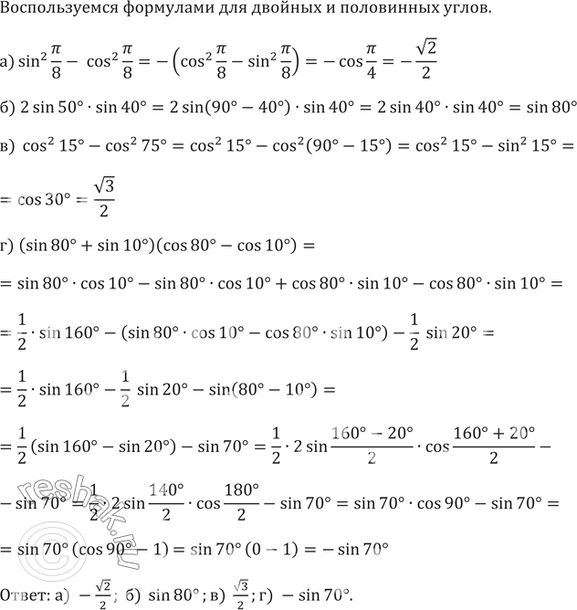
659.
а)sin2пи/8- cos^2пи/8
б) 2sin50°•sin40°
в) cos^215°-cos^275°
г) (sin80+sin10)(cos80°-cos10°)
*Цитирирование задания со ссылкой на учебник производится исключительно в учебных целях для лучшего понимания разбора решения задания.
*К сожалению, временные проблемы с публикацией комментариев с мобильных устройств.