Упр.611 ГДЗ Мерзляк Полонский 8 класс (Алгебра)
Решение #1 (Учебник 2025)
Решение #2 (Учебник 2025)
Решение #3 (Учебник 2019)
Решение #4 (Учебник 2019)

Рассмотрим вариант решения задания из учебника Мерзляк, Полонская, Якир 8 класс, Просвещение:
Не выполняя построения, определите, через какие из данных точек проходит график функции у = корень х:
А (36; 6), В (4; -2), С (0,81; 0,9), D (-1; 1), Е (42,25; 6,5).
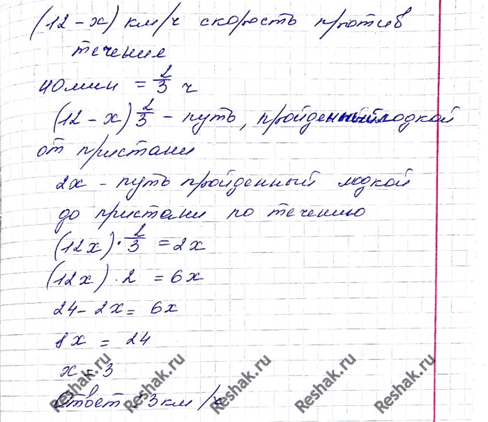
От пристани против течения реки отплыла моторная лодка, собственная скорость которой равна 12 км/ч. Через 40 мин после отправления лодки вышел из строя мотор, и лодку течением реки через 2 ч принесло к пристани. Какова скорость течения реки?
Похожие решебники
Популярные решебники 8 класс Все решебники
*К сожалению, временные проблемы с публикацией комментариев с мобильных устройств.