Упр.617 ГДЗ Мерзляк 8 класс (Алгебра)
Решение #1
Решение #2
Решение #3

Рассмотрим вариант решения задания из учебника Мерзляк, Полонская, Якир 8 класс, Вентана-Граф:
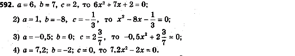
617. Составьте квадратное уравнение, в котором:
1) старший коэффициент равен 6, второй коэффициент равен 7, а свободный член равен 2;
2) старший коэффициент равен 1, второй коэффициент равен -8, а свободный член равен - 1/3;
3) старший коэффициент равен -0,5, второй коэффициент равен 0, а свободный член равен 2 3/7;
4) старший коэффициент равен 7,2, второй коэффициент равен -2, а свободный член равен 0.
Похожие решебники
Популярные решебники 8 класс Все решебники
*К сожалению, временные проблемы с публикацией комментариев с мобильных устройств.