Упр.606 ГДЗ Мерзляк 8 класс (Алгебра)
Решение #1
Решение #2
Решение #3

Рассмотрим вариант решения задания из учебника Мерзляк, Полонская, Якир 8 класс, Вентана-Граф:
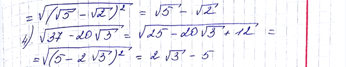
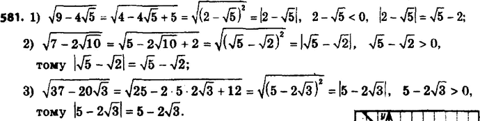
606. Упростите выражение:
1) корень (9 - 4 корень 5);
2) корень (7 - 2 корень 10);
3) корень (37 - 20 корень 3).
Похожие решебники
Популярные решебники 8 класс Все решебники
*К сожалению, временные проблемы с публикацией комментариев с мобильных устройств.