Упр.616 ГДЗ Мерзляк 8 класс (Алгебра)
Решение #1
Решение #2
Решение #3

Рассмотрим вариант решения задания из учебника Мерзляк, Полонская, Якир 8 класс, Вентана-Граф:
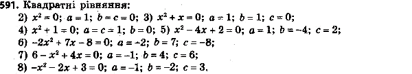
616. Укажите среди данных уравнений квадратные и назовите, чему равны старший коэффициент, второй коэффициент и свободный член каждого из них:
1) х = 0;
2) x2 = 0;
3) x2 + x = 0;
4) x2 + 1 = 0;
5) x2 - 4x + 2 = 0;
6) 3x3 - x2 + 6 = 0;
7) -2x2 + 7x - 8 = 0;
8) x3 - x - 9 = 0;
9) 6 - x2 + 4x = 0;
10) - x2 - 2x + 3 = 0.
Похожие решебники
Популярные решебники 8 класс Все решебники
*размещая тексты в комментариях ниже, вы автоматически соглашаетесь с пользовательским соглашением