Упр.6.152 ГДЗ Дорофеев Суворова 7 класс (Алгебра)
Решение #1

Рассмотрим вариант решения задания из учебника Дорофеев, Суворова, Бунимович 7 класс, Просвещение:
Выполните действия, используя формулы сокращённого умножения:
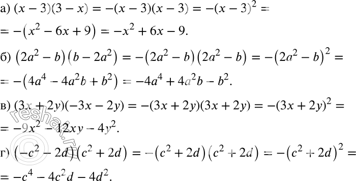
а) (х - 3)(3 - х);
б) (2а2 - b)(b - 2а2);
в) (3х + 2у)(-3х - 2у);
г) (-с2 - 2d)(c2 + 2d).
Популярные решебники 7 класс Все решебники
*размещая тексты в комментариях ниже, вы автоматически соглашаетесь с пользовательским соглашением