Упр.588 ГДЗ Мерзляк Полонский 7 класс (Алгебра)
Решение #1 (Учебник 2025)
Решение #2 (Учебник 2021)
Решение #3 (Учебник 2021)

Рассмотрим вариант решения задания из учебника Мерзляк, Полонская, Якир 7 класс, Вентана-Граф:
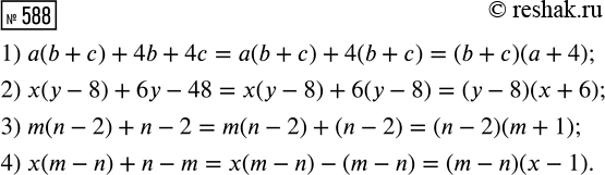
Представьте в виде произведения многочленов выражение:
1) а(b + с) + 4b + 4с; 3) m(n - 2) + n - 2;
2) х(y - 8) + 6у - 48; 4) х(m - n) + n - m.
Найдите сторону квадрата, если при увеличении ее на 5 см получится квадрат, площадь которого на 95 см2 больше площади данного.
Похожие решебники
Популярные решебники 7 класс Все решебники
*К сожалению, временные проблемы с публикацией комментариев с мобильных устройств.