Упр.587 ГДЗ Мерзляк Полонский 7 класс (Алгебра)
Решение #1 (Учебник 2025)
Решение #2 (Учебник 2021)
Решение #3 (Учебник 2021)

Рассмотрим вариант решения задания из учебника Мерзляк, Полонская, Якир 7 класс, Вентана-Граф:
Завершите разложение многочлена на множители:
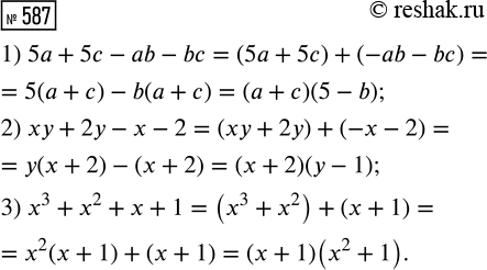
1) 5a + 5c - ab - bc;
2) xy + 2y - x - 2;
3) x^3 + x^2 + x + 1.
Решите уравнение:
1) (3х + 2)2 + (4х - 1)(4х + 1) = (5х -1)2;
2) 2(m + 1)2 + 3(m - )2 - 5(m + 1)(m - 1) = -4.
Похожие решебники
Популярные решебники 7 класс Все решебники
*К сожалению, временные проблемы с публикацией комментариев с мобильных устройств.