🔥ГДЗ под запретом?

Упр.5.5 ГДЗ Виленкин Жохов 6 класс Часть 2, Просвещение (Математика)

Решение #1 (Учебник 2023)

Изображение Раскройте скобки:а) -a + (m - n);   в) а - (b - k - n);   д) (m - n) - (p - k);б) с + (-а - b);   г) -(а - b + с);      е) -(a + b) + (-c +...

Решение #2 (Учебник 2023)

Изображение Раскройте скобки:а) -a + (m - n);   в) а - (b - k - n);   д) (m - n) - (p - k);б) с + (-а - b);   г) -(а - b + с);      е) -(a + b) + (-c +...

Рассмотрим вариант решения задания из учебника Виленкин, Жохов, Чесноков 6 класс, Просвещение:
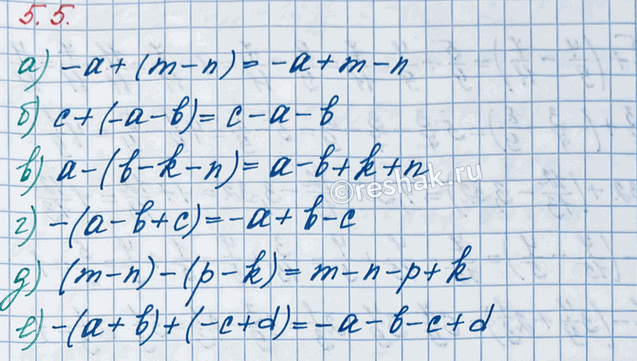
Раскройте скобки:
а) -a + (m - n); в) а - (b - k - n); д) (m - n) - (p - k);
б) с + (-а - b); г) -(а - b + с); е) -(a + b) + (-c + d).

*Цитирирование задания со ссылкой на учебник производится исключительно в учебных целях для лучшего понимания разбора решения задания.
*К сожалению, временные проблемы с публикацией комментариев с мобильных устройств.