🔥ГДЗ под запретом?

Упр.5.120 ГДЗ Виленкин Жохов 6 класс Часть 2, Просвещение (Математика)

Решение #1 (Учебник 2023)

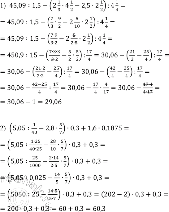
Изображение Выполните действия:1) 45,09 : 1,5 - (2 1/3 · 4 1/2 - 2,5 · 2 1/2) : 4 1/4;2) (5,05 : 1/40 - 2,8 · 5/7) · 0,3 + 1,6 · 0,1875.При выполнении вычислений порядок...

Решение #2 (Учебник 2023)

Изображение Выполните действия:1) 45,09 : 1,5 - (2 1/3 · 4 1/2 - 2,5 · 2 1/2) : 4 1/4;2) (5,05 : 1/40 - 2,8 · 5/7) · 0,3 + 1,6 · 0,1875.При выполнении вычислений порядок...
Дополнительное изображение
Дополнительное изображение

Решение #3 (Учебник 2023)

Изображение Выполните действия:1) 45,09 : 1,5 - (2 1/3 · 4 1/2 - 2,5 · 2 1/2) : 4 1/4;2) (5,05 : 1/40 - 2,8 · 5/7) · 0,3 + 1,6 · 0,1875.При выполнении вычислений порядок...

Рассмотрим вариант решения задания из учебника Виленкин, Жохов, Чесноков 6 класс, Просвещение:
Выполните действия:
1) 45,09 : 1,5 - (2 1/3 · 4 1/2 - 2,5 · 2 1/2) : 4 1/4;
2) (5,05 : 1/40 - 2,8 · 5/7) · 0,3 + 1,6 · 0,1875.
При выполнении вычислений порядок выполнения действий определяем согласно следующему правилу: если в выражении есть скобки, то сначала выполняют действия в скобках, а затем за скобками. И в скобках и за скобками сначала выполняют действия второй ступени (умножение и деление) по порядку слева направо, а потом действия первой ступени (сложение и вычитание), также по порядку слева направо.
При выполнении вычислений опираемся на следующие правила:
- для того, чтобы перемножить две десятичные дроби, необходимо умножить их как натуральные числа, не обращая внимание на запятые, и в полученном произведении отделить запятой справа столько цифр, сколько их стоит после запятых в обоих множителях вместе.
- для того, чтобы умножить десятичную дробь на натуральное число, необходимо умножить их как натуральные числа, не обращая внимание на запятую, и в полученном произведении отделить запятой справа столько цифр, сколько их стоит после запятой у умножаемой дроби.
- для того, чтобы найти сумму (разность) двух дробей с одинаковыми знаменателями, необходимо сложить (вычесть) их числители, а знаменатель оставить прежним.
- для того, чтобы сложить (вычесть) две дроби с разными знаменателями, необходимо привести дроби к общему знаменателю и применить правило сложения (вычитания) дробей с одинаковыми знаменателями.
- произведением двух дробей является дробь, числитель которой равен произведению числителей, а знаменатель – произведению знаменателей.
- для того, чтобы выполнить умножение смешанных чисел, необходимо записать эти числа в виде неправильных дробей, а затем воспользоваться правилом умножения дробей.
- для того, чтобы преобразовать смешанное число в неправильную дробь, необходимо целую часть числа умножить на знаменатель дробной части и к полученному произведению прибавить числитель дробной части; эту сумму записать как числитель неправильной дроби, а в её знаменатель записать знаменатель дробной части смешанного числа.
Также при вычислениях с обыкновенными дробями, если возможно, выполняем сокращение.
Для того, чтобы умножить обыкновенную дробь на десятичную, преобразуем десятичную дробь в обыкновенную, у которой в знаменателе стоит единица с нулями (число нулей в знаменателе обыкновенной дроби равно числу знаков после запятой в десятичной дроби), затем выполняем умножение обыкновенных дробей.
1) 45,09:1,5-(2 1/3•4 1/2-2,5•2 1/2):4 1/4=45,09:1,5-(7/3•9/2-2 5/10•2 1/2):4 1/4=45,09:1,5-((7•9)/(3•2)-2 5/(2•5)•2 1/2):4 1/4=450,9:15-((7•3•3)/(3•2)-5/2•5/2):17/4=30,06-(21/2-25/4):17/4=30,06-((21•2)/(2•2)-25/4):17/4=30,06-(42/4-25/4):174=30,06-(42-25)/4 :17/4=30,06-17/4•4/17=30,06-(17•4)/(4•17)=30,06-1=29,06
2) (5,05:1/40-2,8•5/7)•0,3+1,6•0,1875=(5,05:(1•25)/(40•25)-28/10•5/7)•0,3+0,3=(5,05:25/1000-(2•14)/(2•5)•5/7)•0,3+0,3=(5,05:0,025-14/5•5/7)•0,3+0,3=(5050:25-(14•5)/(5•7))•0,3+0,3=(202-2)•0,3+0,3=200•0,3+0,3=60+0,3=60,3

*Цитирирование задания со ссылкой на учебник производится исключительно в учебных целях для лучшего понимания разбора решения задания.
*К сожалению, временные проблемы с публикацией комментариев с мобильных устройств.