🔥ГДЗ под запретом?

Упр.5.122 ГДЗ Виленкин Жохов 6 класс Часть 2, Просвещение (Математика)

Решение #1 (Учебник 2023)

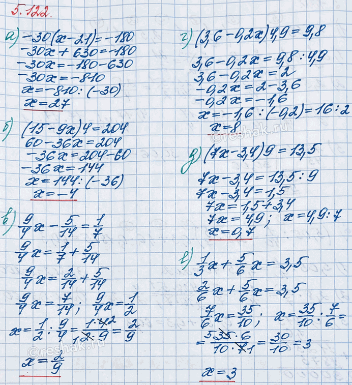
Изображение Найдите корень уравнения и выполните проверку:а) —30(x - 21) = -180;   г) (3,6 - 0,2x)4,9 = 9,8:б) (15 - 9x)4 = 204;     д) (7x - 3,4)9 = 13,5;в) 9/4 x - 5/14 =...
Дополнительное изображение

Решение #2 (Учебник 2023)

Изображение Найдите корень уравнения и выполните проверку:а) —30(x - 21) = -180;   г) (3,6 - 0,2x)4,9 = 9,8:б) (15 - 9x)4 = 204;     д) (7x - 3,4)9 = 13,5;в) 9/4 x - 5/14 =...
Дополнительное изображение
Дополнительное изображение
Дополнительное изображение
Дополнительное изображение
Дополнительное изображение

Решение #3 (Учебник 2023)

Изображение Найдите корень уравнения и выполните проверку:а) —30(x - 21) = -180;   г) (3,6 - 0,2x)4,9 = 9,8:б) (15 - 9x)4 = 204;     д) (7x - 3,4)9 = 13,5;в) 9/4 x - 5/14 =...

Рассмотрим вариант решения задания из учебника Виленкин, Жохов, Чесноков 6 класс, Просвещение:
Найдите корень уравнения и выполните проверку:
а) —30(x - 21) = -180; г) (3,6 - 0,2x)4,9 = 9,8:
б) (15 - 9x)4 = 204; д) (7x - 3,4)9 = 13,5;
в) 9/4 x - 5/14 = 1/7; е) 1/3 x + 5/6 x = 3,5.
Известно, что корни уравнения не изменяются:
- если какое-нибудь слагаемое перенести из одной части уравнения в другую, изменив при этом его знак, то есть при переносе слагаемого из левой части в правую или наоборот, необходимо поменять его знак на противоположный.
- если обе части уравнения умножить или разделить на одно и то же число, не равное нулю.
Для решений данных уравнений соберём в левой части уравнения все слагаемые, содержащие неизвестное, а в правой – не содержащие неизвестное, затем приведём подобные слагаемые, то есть сложим их коэффициенты и полученный результат умножим на общую буквенную часть.
В том случае, если в уравнении есть коэффициенты – обыкновенные дроби или смешанные числа, сначала избавляемся от всех дробных коэффициентов, для этого умножаем обе части уравнения на наименьший общий знаменатель дробей.
Если в левой части уравнения есть множитель, который не содержит неизвестное, избавляемся от него, для этого разделим обе части уравнения на данный множитель.
Затем соберём в левой части уравнения все слагаемые, содержащие неизвестное, а в правой - не содержащие неизвестное, затем приведём подобные слагаемые, то есть сложим их коэффициенты и полученный результат умножим на общую буквенную часть.
Для того, чтобы выполнить проверку, необходимо в уравнение подставить полученный корень и выполнить вычисления, если равенство получится верное, то уравнение решено верно.
При этом помним, что:
- для того, чтобы сложить два числа с разными знаками, необходимо найти модули слагаемых и из большего модуля вычесть меньший; перед полученным числом поставить знак слагаемого с большим модулем.
- для того, чтобы сложить два отрицательных числа, необходимо найти и сложить модули слагаемых; перед полученным числом поставить знак «-».
- для того, чтобы из данного числа вычесть другое, необходимо к уменьшаемому прибавить число, противоположное вычитаемому.
Для того, чтобы найти частное двух отрицательных чисел, необходимо разделить модуль делимого на модуль делителя.
Для того, чтобы найти частное двух чисел с разными знаками, необходимо разделить модуль делимого на модуль делителя и поставить перед полученным числом знак «-».
а) -30•(x-21)=-180
Избавимся от множителя (-30) в левой части, для этого разделим левую и правую часть на данный множитель, получим:
(-30•(x-21)) :(-30)=-180:(-30).
x-21=6
Далее второе слагаемое левой части переносим вправо, при этом поменяв его знак на противоположный, получаем: x=6+21
x=27
Выполним проверку: -30•(27-21)=-180
-30•6=-180
-180=-180 - верно.
Значит, уравнение решено верно.
б) (15-9x)•4=204
Избавимся от множителя 4 в левой части, для этого разделим левую и правую часть на данный множитель, получим:
((15-9x)•4):4=204:4.
15-9x=51
15+(-9x)=51
Далее первое слагаемое левой части переносим вправо, при этом поменяв его знак на противоположный, получаем:
-9x=51-15
-9x=36
Неизвестен множитель x.
Для того, чтобы найти неизвестный множитель, необходимо произведение разделить на известный множитель, тогда
x=36:(-9)
x=-4
Выполним проверку: (15-9•(-4))•4=204
(15+36)•4=204
51•4=204
204=204 - верно.
Значит, уравнение решено верно.
в) 9/4 x-5/14=1/7
Умножим обе части уравнения на 28 : 28•(9/4 x-5/14) =28•1/7
(28•9)/4 x-(28•5)/14=28/7
(4•7•9)/4 x-(2•14•5)/14=4
63x-10=4
Далее второе слагаемое левой части переносим вправо, при этом поменяв его знак на противоположный, получаем: 63x=4+10
63x=14
Неизвестен множитель x.
Для того, чтобы найти неизвестный множитель, необходимо произведение разделить на известный множитель, тогда
x=14/63=(2•7)/(7•9)
x=2/9
Выполним проверку: 9/4•2/9-5/14=1/7
(9•2)/(2•2•9)-5/14=1/7
1/2-5/14=1/7
(1•7)/(2•7)-5/14=1/7
7/14-5/14=1/7
(7-5)/14=1/7
2/14=1/7
2/(2•7)=1/7
1/7=1/7 - верно.
Значит, уравнение решено верно.
г) (3,6-0,2x)•4,9=9,8
Избавимся от множителя в левой части (4,9), для этого разделим левую и правую часть на данный множитель, получим:
((3,6-0,2x)•4,9):4,9=9,8:4,9.
3,6-0,2x=2
Далее первое слагаемое левой части переносим вправо, при этом поменяв его знак на противоположный, получаем:
-0,2x=2-3,6
-0,2x=-(3,6-2)
-0,2x=-1,6
Неизвестен множитель x.
Для того, чтобы найти неизвестный множитель, необходимо произведение разделить на известный множитель, тогда
x=-1,6:(-0,2)
x=16:2
x=8
Выполним проверку: (3,6-0,2•8)•4,9=9,8
(3,6-1,6)•4,9=9,8
2•4,9=9,8
9,8=9,8 - верно.
Значит, уравнение решено верно.
д) (7x-3,4)9=13,5
Избавимся от множителя 9 в левой части уравнения, для этого разделим левую и правую часть на данный множитель, получим:
((7x-3,4)•9) :9=13,5:9.
7x-3,4=1,5
Далее второе слагаемое левой части переносим вправо, при этом поменяв его знак на противоположный, получаем:
7x=3,4+1,5
7x=4,9
Неизвестен множитель x.
Для того, чтобы найти неизвестный множитель, необходимо произведение разделить на известный множитель, тогда
x=4,9:7
x=0,7
Выполним проверку: (7•0,7-3,4)9=13,5
(4,9-3,4)9=13,5
1,5•9=13,5
13,5=13,5 - верно.
Значит, уравнение решено верно.
е) 1/3 x+5/6 x=3,5
Умножим обе части уравнения на 6 :
6•(1/3 x+5/6 x) =6•3,5
6/3 x+(6•5)/6 x=21
2x+5x=21
7x=21
Неизвестен множитель x.
Для того, чтобы найти неизвестный множитель, необходимо произведение разделить на известный множитель, тогда
x=21:7
x=3
Выполним проверку: 1/3•3+5/6•3=3,5
3/3+(5•3)/6=3,5
1+(5•3)/(2•3)=3,5
1+2,5=3,5
3,5=3,5 - верно.
Значит, уравнение решено верно.

*Цитирирование задания со ссылкой на учебник производится исключительно в учебных целях для лучшего понимания разбора решения задания.
*К сожалению, временные проблемы с публикацией комментариев с мобильных устройств.