Упр.5.12 ГДЗ Мерзляк 10 класс Углубленный уровень (Алгебра)
Решение #1

Рассмотрим вариант решения задания из учебника Мерзляк, Номировский, Поляков 10 класс, Просвещение:
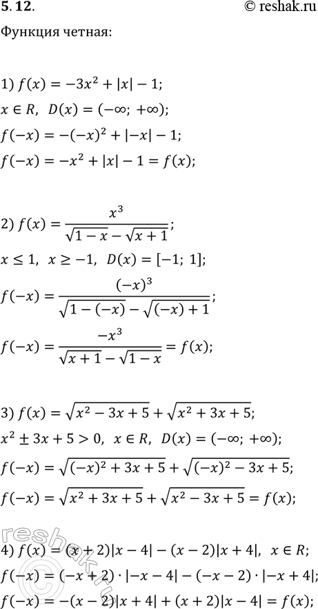
5.12. Докажите, что функция является чётной:
1) f(x)=-3x^2+|x|-1;
2) f(x)=x^3/(v(1-x)-v(x+1));
3) f(x)=v(x^2-3x+5)+v(x^2+3x+5);
4) f(x)=(x+2)|x-4|-(x-2)|x+4|.
Похожие решебники
Популярные решебники 10 класс Все решебники
*размещая тексты в комментариях ниже, вы автоматически соглашаетесь с пользовательским соглашением