Упр.5.6 ГДЗ Мерзляк 10 класс Углубленный уровень (Алгебра)
Решение #1

Рассмотрим вариант решения задания из учебника Мерзляк, Номировский, Поляков 10 класс, Просвещение:
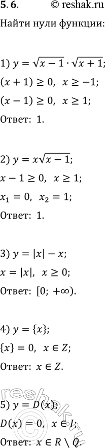
5.6. Найдите нули функции:
1) y=v(x-1)·v(x+1); 4) y={x};
2) y=xv(x-1); 5) y=D(x).
3) y=|x|-x;
Похожие решебники
Популярные решебники 10 класс Все решебники
*размещая тексты в комментариях ниже, вы автоматически соглашаетесь с пользовательским соглашением