Упр.5.9 ГДЗ Мерзляк 10 класс Углубленный уровень (Алгебра)
Решение #1

Рассмотрим вариант решения задания из учебника Мерзляк, Номировский, Поляков 10 класс, Просвещение:
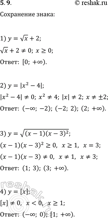
5.9. Найдите промежутки знакопостоянства функции:
1) y=vx+2; 3) y=v((x-1)(x-3)^2);
2) y=|x^2-4|; 4) y=[x].
Похожие решебники
Популярные решебники 10 класс Все решебники
*размещая тексты в комментариях ниже, вы автоматически соглашаетесь с пользовательским соглашением