Упр.5.16 ГДЗ Мерзляк 10 класс Углубленный уровень (Алгебра)
Решение #1

Рассмотрим вариант решения задания из учебника Мерзляк, Номировский, Поляков 10 класс, Просвещение:
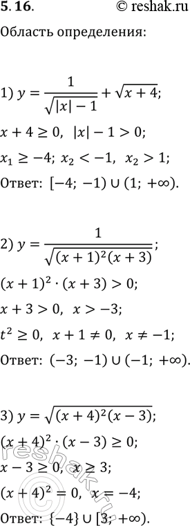
5.16. Найдите область определения функции:
1) y=1/v(|x|-1)+v(x+4); 3) y=v((x+4)^2 (x-3)).
2) y=1/v((x+1)^2 (x+3));
Похожие решебники
Популярные решебники 10 класс Все решебники
*размещая тексты в комментариях ниже, вы автоматически соглашаетесь с пользовательским соглашением