Упр.5.17 ГДЗ Мерзляк 10 класс Углубленный уровень (Алгебра)
Решение #1

Рассмотрим вариант решения задания из учебника Мерзляк, Номировский, Поляков 10 класс, Просвещение:
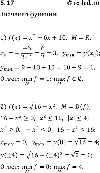
5.17. Найдите max(M, f(x)) и min(M, f(x)), если:
1) f(x)=x^2-6x+10, M=R; 2) f(x)=v(16-x^2), M=D(f).
Похожие решебники
Популярные решебники 10 класс Все решебники
*размещая тексты в комментариях ниже, вы автоматически соглашаетесь с пользовательским соглашением