Упр.43.6 Часть 2 ГДЗ Мордкович Семенов 7 класс (Алгебра)
Решение #1 (Учебник 2025)

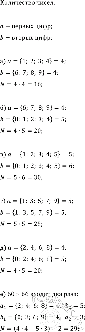
Рассмотрим вариант решения задания из учебника Мордкович, Семенов, Александрова 7 класс, Бином:
Найдите количество всех двузначных чисел, у которых:
а) первая цифра меньше 5, а вторая больше 5;
б) первая цифра больше 5, а вторая меньше 5;
в) обе цифры меньше 6;
г) обе цифры нечётные;
д) обе цифры чётные;
е) одна цифра чётная, а другая кратна трём.
Похожие решебники
Популярные решебники 7 класс Все решебники
*К сожалению, временные проблемы с публикацией комментариев с мобильных устройств.