Упр.43.5 Часть 2 ГДЗ Мордкович Семенов 7 класс (Алгебра)
Решение #1 (Учебник 2025)

Рассмотрим вариант решения задания из учебника Мордкович, Семенов, Александрова 7 класс, Бином:
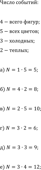
Наудачу выбирают геометрическую фигуру (треугольник, прямоугольник, круг или пятиконечную звезду) и цвет её раскраски (синий, голубой, зелёный, жёлтый или оранжевый). Сколько есть вариантов, в которых выбран:
а) треугольник;
б) цвет тёплого тона;
в) круг или звезда;
г) зелёный или жёлтый многоугольник;
д) не прямоугольник холодного тона;
е) не круг не жёлтого цвета?
Похожие решебники
Популярные решебники 7 класс Все решебники
*К сожалению, временные проблемы с публикацией комментариев с мобильных устройств.