Упр.43.4 Часть 2 ГДЗ Мордкович Семенов 7 класс (Алгебра)
Решение #1 (Учебник 2025)

Рассмотрим вариант решения задания из учебника Мордкович, Семенов, Александрова 7 класс, Бином:
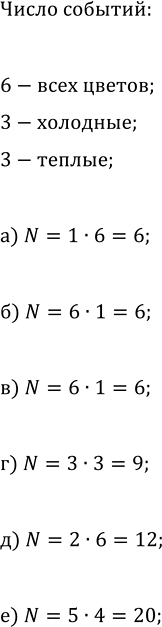
Каждая из шести граней игрального кубика окрашена в один из цветов: красный, оранжевый, жёлтый (тёплые тона), зелёный, голубой, синий (холодные тона). Кубик бросают дважды. Сколько есть элементарных событий, в которых:
а) первым выпал зелёный цвет;
б) вторым выпал жёлтый цвет;
в) оба раза выпали одинаковые цвета;
г) оба раза выпали цвета холодных тонов;
д) в первый раз выпал жёлтый или голубой цвет;
е) в первый раз выпал не красный цвет, а во второй — не красный и не синий?
Похожие решебники
Популярные решебники 7 класс Все решебники
*К сожалению, временные проблемы с публикацией комментариев с мобильных устройств.