Упр.42.21 ГДЗ Мерзляк 10 класс Углубленный уровень (Алгебра)
Решение #1

Рассмотрим вариант решения задания из учебника Мерзляк, Номировский, Поляков 10 класс, Просвещение:
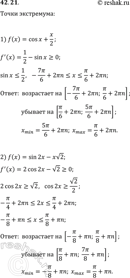
42.21. Найдите промежутки возрастания и убывания и точки экстремума функции:
1) f(x)=cos(x)+x/2; 2) f(x)=sin(2x)-xv2.
Похожие решебники
Популярные решебники 10 класс Все решебники
*размещая тексты в комментариях ниже, вы автоматически соглашаетесь с пользовательским соглашением