Упр.40.9 ГДЗ Мерзляк 10 класс Углубленный уровень (Алгебра)
Решение #1

Рассмотрим вариант решения задания из учебника Мерзляк, Номировский, Поляков 10 класс, Просвещение:
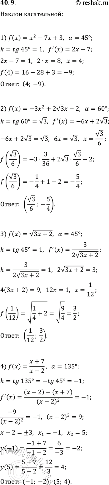
40.9. Найдите такую точку графика функции f, что провёденная в этой точке касательная образует с положительным направлением оси абсцисс угол ?, если:
1) f(x)=x^2-7x+3, ?=45°; 3) f(x)=v(3x+2), ?=45°;
2) f(x)=-3x^2+2v3x-2, ?=60°; 4) f(x)=(x+7)/(x-2), ?=135°.
Похожие решебники
Популярные решебники 10 класс Все решебники
*размещая тексты в комментариях ниже, вы автоматически соглашаетесь с пользовательским соглашением