Упр.40.13 ГДЗ Мерзляк 10 класс Углубленный уровень (Алгебра)
Решение #1

Рассмотрим вариант решения задания из учебника Мерзляк, Номировский, Поляков 10 класс, Просвещение:
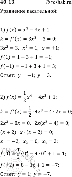
40.13. Найдите уравнения горизонтальных касательных к графику функции:
1) f(x)=x^3-3x+1; 2) f(x)=1/2 x^4-4x^2+1.
Похожие решебники
Популярные решебники 10 класс Все решебники
*размещая тексты в комментариях ниже, вы автоматически соглашаетесь с пользовательским соглашением