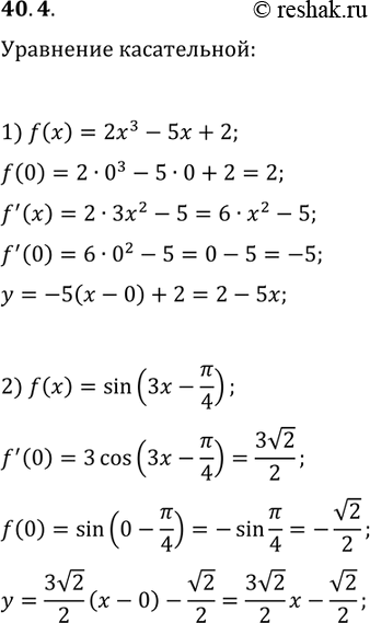
Упр.40.4 ГДЗ Мерзляк 10 класс Углубленный уровень (Алгебра)
Решение #1

Рассмотрим вариант решения задания из учебника Мерзляк, Номировский, Поляков 10 класс, Просвещение:
40.4. Запишите уравнение касательной к графику данной функции в точке его пересечения с осью ординат:
1) f(x)=2x^3-5x+2; 2) f(x)=sin(3x-?/4).
Похожие решебники
Популярные решебники 10 класс Все решебники
*размещая тексты в комментариях ниже, вы автоматически соглашаетесь с пользовательским соглашением