Упр.40.6 ГДЗ Мерзляк 10 класс Углубленный уровень (Алгебра)
Решение #1

Рассмотрим вариант решения задания из учебника Мерзляк, Номировский, Поляков 10 класс, Просвещение:
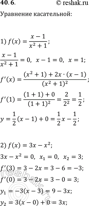
40.6. Составьте уравнение касательной к графику функции f в точке его пересечения с осью абсцисс:
1) f(x)=(x-1)/(x^2+1); 2) f(x)=3x-x^2.
Похожие решебники
Популярные решебники 10 класс Все решебники
*размещая тексты в комментариях ниже, вы автоматически соглашаетесь с пользовательским соглашением