Упр.40.11 ГДЗ Мерзляк 10 класс Углубленный уровень (Алгебра)
Решение #1

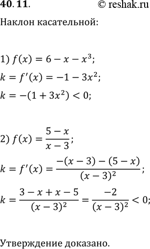
Рассмотрим вариант решения задания из учебника Мерзляк, Номировский, Поляков 10 класс, Просвещение:
40.11. Докажите, что любая касательная к графику функции f образует тупой угол с положительным направлением оси абсцисс:
1) f(x)=6-x-x^3; 2) f(x)=(5-x)/(x-3).
Похожие решебники
Популярные решебники 10 класс Все решебники
*размещая тексты в комментариях ниже, вы автоматически соглашаетесь с пользовательским соглашением