Упр.40.1 ГДЗ Мерзляк 10 класс Углубленный уровень (Алгебра)
Решение #1

Рассмотрим вариант решения задания из учебника Мерзляк, Номировский, Поляков 10 класс, Просвещение:
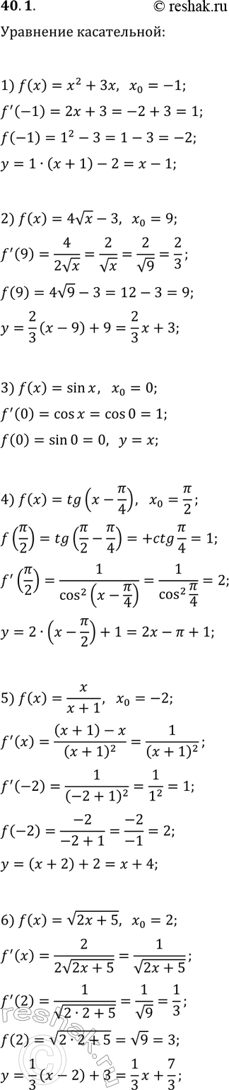
40.1. Составьте уравнение касательной к графику функции f в точке с абсциссой x_0, если:
1) f(x)=x^2+3x, x_0=-1; 4) f(x)=tg(x-?/4), x_0=?/2;
2) f(x)=4vx-3, x_0=9; 5) f(x)=x/(x+1), x_0=-2;
3) f(x)=sin(x), x_0=0; 6) f(x)=v(2x+5), x_0=2.
Похожие решебники
Популярные решебники 10 класс Все решебники
*размещая тексты в комментариях ниже, вы автоматически соглашаетесь с пользовательским соглашением