Упр.40.16 ГДЗ Мерзляк 10 класс Углубленный уровень (Алгебра)
Решение #1

Рассмотрим вариант решения задания из учебника Мерзляк, Номировский, Поляков 10 класс, Просвещение:
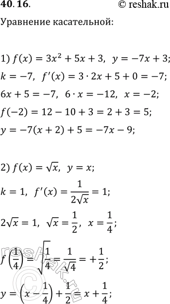
40.16. Составьте уравнение касательной к графику функции:
1) f(x)=3x^2+5x+3, если эта касательная параллельна прямой y=-7x+3;
2) f(x)=vx, если эта касательная параллельна прямой y=x.
Похожие решебники
Популярные решебники 10 класс Все решебники
*размещая тексты в комментариях ниже, вы автоматически соглашаетесь с пользовательским соглашением