Упр.4.96 ГДЗ Дорофеев Суворова 9 класс (Алгебра)
Решение #1

Рассмотрим вариант решения задания из учебника Дорофеев, Суворова, Бунимович 9 класс, Просвещение:
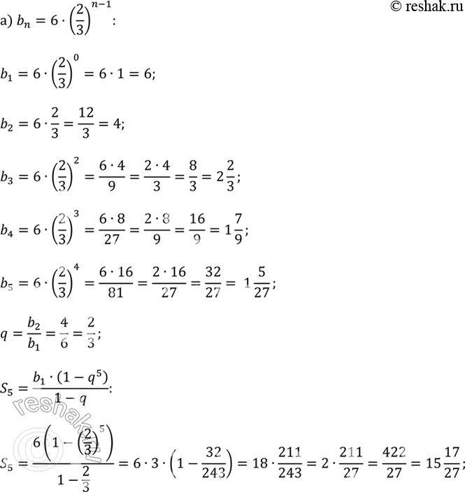
Выпишите первые пять членов геометрической прогрессии (b_n), заданной формулой n-го члена, и найдите их сумму:
а) b_n = 6 · (2/3)^(n-1);
б) b_n = -2/81 · (3/2)^(n-1).
Популярные решебники 9 класс Все решебники
*К сожалению, временные проблемы с публикацией комментариев с мобильных устройств.