🔥ГДЗ под запретом?

Упр.4.329 ГДЗ Виленкин Жохов 6 класс Часть 2, Просвещение (Математика)

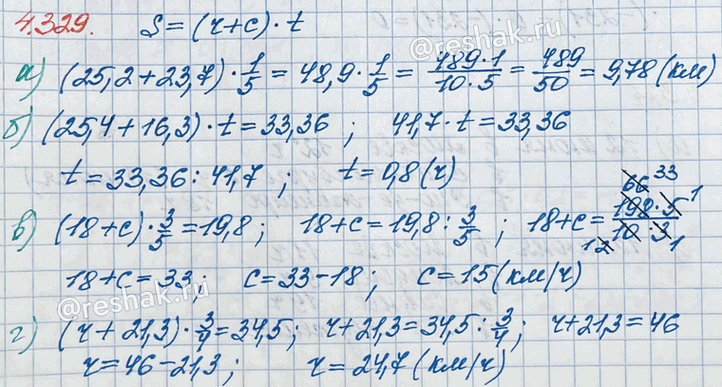
Решение #1 (Учебник 2023)

Изображение Составьте формулу для решения предыдущей задачи, если от пристани теплоходы отправились в противоположных направлениях. Найдите по полученной формуле:а) s, если с =...
Дополнительное изображение

Решение #2 (Учебник 2023)

Изображение Составьте формулу для решения предыдущей задачи, если от пристани теплоходы отправились в противоположных направлениях. Найдите по полученной формуле:а) s, если с =...
Дополнительное изображение
Дополнительное изображение
Дополнительное изображение

Решение #3 (Учебник 2023)

Изображение Составьте формулу для решения предыдущей задачи, если от пристани теплоходы отправились в противоположных направлениях. Найдите по полученной формуле:а) s, если с =...

Рассмотрим вариант решения задания из учебника Виленкин, Жохов, Чесноков 6 класс, Просвещение:
Составьте формулу для решения предыдущей задачи, если от пристани теплоходы отправились в противоположных направлениях. Найдите по полученной формуле:
а) s, если с = 23,7, r = 25,2, t = 1/5; в) с, если s = 19,8, r = 18, t = 3/5;
б) t, если s = 33,36, с = 16,3, r = 25,4; г) r, если s = 34,5, с = 21,3, t = 3/4.
Для того, чтобы найти расстояние (пройденный путь), необходимо скорость умножить на время движения.
Два теплохода отправились одновременно от пристани в противоположных направлениях.
Скорости теплоходов - c км/ч и r км/ч .
Значит, за t ч первый теплоход пройдёт ct км, а второй теплоход - rt км.
Учитывая то, что теплоходы движутся в противоположных направлениях, через t ч расстояние s между теплоходами будет вычисляться по формуле:
s=rt+ct или, используя распределительное свойство умножения относительно сложения (то есть вынося одинаковый множитель t за скобки), получим s=(r+c)t.
а) Если c=23,7, r=25,2,t=1/5 , то подставляя данные значения в формулу расстояния между теплоходами, получим
s=(25,2+23,7)•1/5=48,9•1/5=48,9/5=9,78 (км).
б) Если s=33,36,c=16,3, r=25,4, то подставляя данные значения в формулу расстояния между теплоходами, получим
33,36=(25,4+16,3)•t
33,36=41,7•t
В полученном уравнении неизвестен множитель t.
Для того, чтобы найти неизвестный множитель, необходимо произведение разделить на известный множитель, получим
t=33,36:41,7
t=333,6:417
t=0,8 (ч).
в) Если s=19,8,r=18,t=3/5 , то подставляя данные значения в формулу расстояния между теплоходами, получим
19,8=(18+c)•3/5
В полученном уравнении неизвестен множитель 18+c.
Для того, чтобы найти неизвестный множитель, необходимо произведение разделить на известный множитель, получим
18+c=19,8:3/5
18+c=19,8•5/3
18+c=(19,8•5)/3
18+c=(3•6,6•5)/3
18+c=33
Теперь неизвестно слагаемое c.
Для того, чтобы найти неизвестное слагаемое, необходимо из суммы вычесть известное слагаемое, получим
c=33-18
c=15 (км/ч).
г) Если s=34,5,c=21,3, t=3/4 , то подставляя данные значения в формулу расстояния между теплоходами, получим
34,5=(r+21,3)•3/4
В полученном уравнении неизвестен множитель r+21,3.
Для того, чтобы найти неизвестный множитель, необходимо произведение разделить на известный множитель, получим
r+21,3=34,5:3/4
r+21,3=34,5•4/3
r+21,3=(34,5•4)/3
r+21,3=(3•11,5•4)/3
r+21,3=46
Теперь неизвестно слагаемое r.
Для того, чтобы найти неизвестное слагаемое, необходимо из суммы вычесть известное слагаемое, получим
r=46-21,3
r=24,7 (км/ч).
При выполнении вычислений опираемся на следующие правила:
- для того, чтобы умножить десятичную дробь на натуральное число, необходимо умножить их как натуральные числа, не обращая внимание на запятую; в полученном произведении отделить запятой справа столько цифр, сколько их стоит после запятой у умножаемой дроби.
- для того, чтобы разделить десятичную дробь на десятичную, необходимо перенести в делимом и делителе запятые вправо на столько цифр, сколько их содержится после запятой в делителе и выполнить деление на натуральное число, то есть разделить дробь на это число, не обращая внимание на запятую; поставить в частном запятую, когда кончится деление целой части.
- для того, чтобы разделить одну дробь на другую, необходимо делимое умножить на число, обратное делителю, то есть у делителя нужно поменять местами числа, стоящие в числителе и знаменателе.

*Цитирирование задания со ссылкой на учебник производится исключительно в учебных целях для лучшего понимания разбора решения задания.
*К сожалению, временные проблемы с публикацией комментариев с мобильных устройств.