🔥ГДЗ под запретом?

Упр.4.335 ГДЗ Виленкин Жохов 6 класс Часть 2, Просвещение (Математика)

Решение #1 (Учебник 2023)

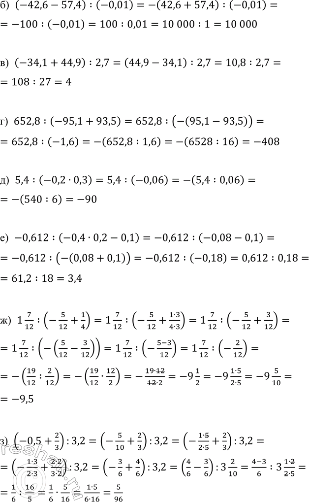
Изображение Выполните действия:а) (46 - 53) : 0,7;            д) 5,4 : (-0,2 · 0,3);б) (-42,6 - 57,4) : (-0,01);   е) -0,612 : (-0,4 · 0,2 - 0,1);в) (-34,1 + 44,9) : 2,7;     ...

Решение #2 (Учебник 2023)

Изображение Выполните действия:а) (46 - 53) : 0,7;            д) 5,4 : (-0,2 · 0,3);б) (-42,6 - 57,4) : (-0,01);   е) -0,612 : (-0,4 · 0,2 - 0,1);в) (-34,1 + 44,9) : 2,7;     ...
Дополнительное изображение
Дополнительное изображение
Дополнительное изображение

Решение #3 (Учебник 2023)

Изображение Выполните действия:а) (46 - 53) : 0,7;            д) 5,4 : (-0,2 · 0,3);б) (-42,6 - 57,4) : (-0,01);   е) -0,612 : (-0,4 · 0,2 - 0,1);в) (-34,1 + 44,9) : 2,7;     ...

Рассмотрим вариант решения задания из учебника Виленкин, Жохов, Чесноков 6 класс, Просвещение:
Выполните действия:
а) (46 - 53) : 0,7; д) 5,4 : (-0,2 · 0,3);
б) (-42,6 - 57,4) : (-0,01); е) -0,612 : (-0,4 · 0,2 - 0,1);
в) (-34,1 + 44,9) : 2,7; ж) 1 7/12 : (-5/12 + 1/4);
г) 652,8 : (-95,1 + 93,5); з) (-0,5 + 2/3) : 3,2.
Порядок выполнения действий определяем по следующим правилам:
- если в выражении нет скобок (скобки, которые определяют отрицательное число, не учитываем) и оно содержит действия первой (сложение и вычитание) и второй (умножение и деление) ступени, то сначала выполняют действия второй ступени по порядку слева направо, а потом действия первой ступени, также по порядку слева направо.
- если в выражении есть скобки (скобки, которые определяют отрицательное число, не учитываем), то сначала выполняют действия в скобках, а затем за скобками.
При выполнении вычислений опираемся на следующие правила:
- для того, чтобы сложить числа с разными знаками, необходимо найти модули слагаемых и из большего модуля вычесть меньший модуль; перед полученным числом поставить знак слагаемого с большим модулем.
- для того, чтобы сложить два отрицательных числа, необходимо найти модули слагаемых и сложить их; перед полученным числом поставить знак «-».
- для того, чтобы из данного числа вычесть другое, необходимо к уменьшаемому прибавить число, противоположное вычитаемому.
- для того, чтобы перемножить два числа с разными знаками, необходимо умножить их модули и перед полученным произведением поставить знак «-».
- для того, чтобы перемножить два отрицательных числа, необходимо перемножить их модули.
- для того, чтобы найти частное двух отрицательных чисел, необходимо разделить модуль делимого на модуль делителя.
- для того, чтобы найти частное двух чисел с разными знаками, необходимо разделить модуль делимого на модуль делителя и поставить перед полученным числом знак «-».
- для того, чтобы перемножить две десятичные дроби, необходимо умножить их как натуральные числа, не обращая внимание на запятые; в полученном произведении отделить запятой справа столько цифр, сколько их стоит после запятых в обоих множителях вместе.
- для того, чтобы разделить десятичную дробь на десятичную, необходимо перенести в делимом и делителе запятые вправо на столько цифр, сколько их содержится после запятой в делителе; выполнить деление на натуральное число, то есть разделить дробь на это число, не обращая внимание на запятую; поставить в частном запятую, когда кончится деление целой части.
- для того, чтобы сложить (вычесть) две дроби с разными знаменателями, необходимо привести данные дроби к общему знаменателю и применить правило сложения (вычитания) дробей с одинаковыми знаменателями, то есть нужно сложить (вычесть) их числители, а знаменатель оставить прежним.
- для того, чтобы разделить одну обыкновенную дробь на другую, необходимо делимое умножить на число, обратное делителю, то есть у делителя необходимо поменять местами числа, стоящие в числителе и знаменателе.
- для того, чтобы выполнить деление смешанных чисел, необходимо записать эти числа в виде неправильных дробей, а затем воспользоваться правилом деления дробей.
- для того, чтобы преобразовать смешанное число в неправильную дробь, необходимо целую часть умножить на знаменатель дробной части и к полученному произведению прибавить числитель дробной части; эту сумму записать как числитель неправильной дроби, а в её знаменатель записать знаменатель дробной части смешанного числа
- произведением двух дробей является дробь, числитель которой равен произведению числителей, а знаменатель – произведению знаменателей.
В примерах, в которых встречаются и десятичные и обыкновенные дроби вместе, десятичные дроби преобразуем в обыкновенные, у которых в знаменателе стоит единица с нулями (число нулей в знаменателе обыкновенной дроби, равно числу знаков после запятой в десятичной дроби), затем выполняем вычисления с обыкновенными дробями.
Также при вычислениях, если возможно, выполняем сокращение обыкновенных дробей.
Если при вычислениях получаем неправильную дробь (числитель больше знаменателя), то преобразуем её в смешанное число.
Для того, чтобы неправильную дробь, числитель которой нацело не делится на знаменатель, преобразовать в смешанное число, необходимо числитель разделить на знаменатель; полученное неполное частное записать как целую часть смешанного числа, а остаток – как числитель его дробной части.
а) (46-53):0,7=-(53-46):0,7=-7:0,7=-(7:0,7)=-(70:7)=-10
б) (-42,6-57,4) :(-0,01)=-(42,6+57,4) :(-0,01)=-100:(-0,01)=100:0,01=10 000:1=10 000
в) (-34,1+44,9) :2,7=(44,9-34,1) :2,7=10,8:2,7=108:27=4
г) 652,8:(-95,1+93,5)=652,8:(-(95,1-93,5))=652,8:(-1,6)=-(652,8:1,6)=-(6528:16)=-408
д) 5,4:(-0,2•0,3)=5,4:(-0,06)=-(5,4:0,06)=-(540:6)=-90
е) -0,612:(-0,4•0,2-0,1)=-0,612:(-0,08-0,1)=-0,612:(-(0,08+0,1))=-0,612:(-0,18)=0,612:0,18==61,2:18=3,4
ж) 1 7/12 :(-5/12+1/4)=1 7/12 :(-5/12+(1•3)/(4•3))=1 7/12 :(-5/12+3/12)=1 7/12 :(-(5/12-3/12))=1 7/12 :(-(5-3)/12)=1 7/12 :(-2/12)=-(19/12 :2/12)=-(19/12•12/2)=-(19•12)/(12•2)=-9 1/2=-9 (1•5)/(2•5)=-9 5/10=-9,5
з) (-0,5+2/3):3,2=(-5/10+2/3):3,2=(-(1•5)/(2•5)+2/3):3,2=(-(1•3)/(2•3)+(2•2)/(3•2)):3,2=(-3/6+4/6):3,2=(4/6-3/6):3 2/10=(4-3)/6 :3 (1•2)/(2•5)==1/6 :16/5=1/6•5/16=(1•5)/(6•16)=5/96

*Цитирирование задания со ссылкой на учебник производится исключительно в учебных целях для лучшего понимания разбора решения задания.
*К сожалению, временные проблемы с публикацией комментариев с мобильных устройств.