🔥ГДЗ под запретом?

Упр.4.324 ГДЗ Виленкин Жохов 6 класс Часть 2, Просвещение (Математика)

Решение #1 (Учебник 2023)

Изображение Выполните действия:а) -23 · 5;           г) -0,6 · 0,2;   ж) -2,4 · (-5);б) -4/7 · (-1/2);     д) (-1/3)^2;     з) (1/5 - 3/4) · (-4);в) 3 2/3 · (-4/11);   е)...

Решение #2 (Учебник 2023)

Изображение Выполните действия:а) -23 · 5;           г) -0,6 · 0,2;   ж) -2,4 · (-5);б) -4/7 · (-1/2);     д) (-1/3)^2;     з) (1/5 - 3/4) · (-4);в) 3 2/3 · (-4/11);   е)...
Дополнительное изображение

Решение #3 (Учебник 2023)

Изображение Выполните действия:а) -23 · 5;           г) -0,6 · 0,2;   ж) -2,4 · (-5);б) -4/7 · (-1/2);     д) (-1/3)^2;     з) (1/5 - 3/4) · (-4);в) 3 2/3 · (-4/11);   е)...

Рассмотрим вариант решения задания из учебника Виленкин, Жохов, Чесноков 6 класс, Просвещение:
Выполните действия:
а) -23 · 5; г) -0,6 · 0,2; ж) -2,4 · (-5);
б) -4/7 · (-1/2); д) (-1/3)^2; з) (1/5 - 3/4) · (-4);
в) 3 2/3 · (-4/11); е) (-2)^3; и) (-0,4 - 0,3) · (-7).
При выполнении вычислений опираемся на следующие правила:
- для того, чтобы перемножить два числа с разными знаками, необходимо умножить их модули и перед полученным произведением поставить знак «-».
- для того, чтобы перемножить два отрицательных числа, необходимо перемножить их модули.
- для того, чтобы из данного числа вычесть другое, необходимо к уменьшаемому прибавить число, противоположное вычитаемому.
- для того, чтобы сложить два числа с разными знаками, необходимо найти модули слагаемых и из большего модуля вычесть меньший модуль; перед полученным числом поставить знак слагаемого с большим модулем.
- для того, чтобы сложить два отрицательных числа, необходимо найти и сложить модули слагаемых; перед полученным числом поставить знак «-».
- для того, чтобы перемножить две десятичные дроби, необходимо умножить их как натуральные числа, не обращая внимание на запятые и в полученном произведении отделить запятой справа столько цифр, сколько их стоит после запятых в обоих множителях вместе.
- для того, чтобы умножить обыкновенную дробь на натуральное число, необходимо её числитель умножить на это число, а знаменатель оставить без изменения.
- произведением двух дробей является дробь, числитель которой равен произведению числителей, а знаменатель – произведению знаменателей.
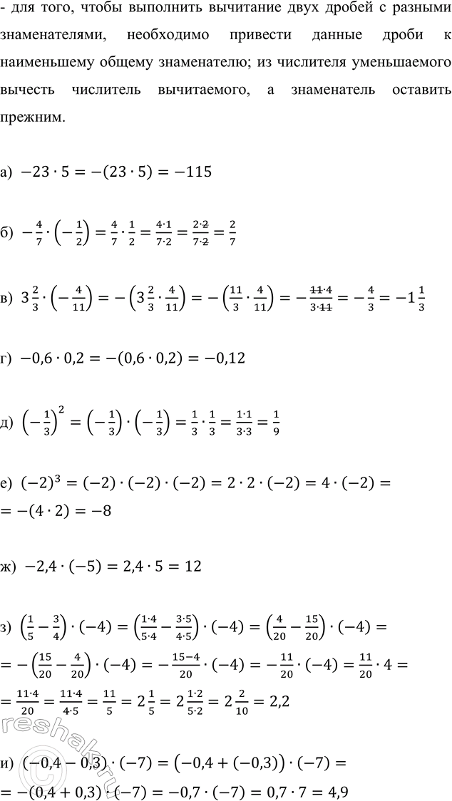
- для того, чтобы выполнить вычитание двух дробей с разными знаменателями, необходимо привести данные дроби к наименьшему общему знаменателю; из числителя уменьшаемого вычесть числитель вычитаемого, а знаменатель оставить прежним.
а) -23•5=-(23•5)=-115
б) -4/7•(-1/2)=4/7•1/2=(4•1)/(7•2)=(2•2)/(7•2)=2/7
в) 3 2/3•(-4/11)=-(3 2/3•4/11)=-(11/3•4/11)=-(11•4)/(3•11)=-4/3=-1 1/3
г) -0,6•0,2=-(0,6•0,2)=-0,12
д) (-1/3)^2=(-1/3)•(-1/3)=1/3•1/3=(1•1)/(3•3)=1/9
е) (-2)^3=(-2)•(-2)•(-2)=2•2•(-2)=4•(-2)=-(4•2)=-8
ж) -2,4•(-5)=2,4•5=12
з) (1/5-3/4)•(-4)=((1•4)/(5•4)-(3•5)/(4•5))•(-4)=(4/20-15/20)•(-4)=-(15/20-4/20)•(-4)=-(15-4)/20•(-4)=-11/20•(-4)=11/20•4=(11•4)/20=(11•4)/(4•5)=11/5=2 1/5=2 (1•2)/(5•2)=2 2/10=2,2
и) (-0,4-0,3)•(-7)=(-0,4+(-0,3))•(-7)=-(0,4+0,3)•(-7)=-0,7•(-7)=0,7•7=4,9

*Цитирирование задания со ссылкой на учебник производится исключительно в учебных целях для лучшего понимания разбора решения задания.
*К сожалению, временные проблемы с публикацией комментариев с мобильных устройств.