🔥ГДЗ под запретом?

Упр.4.318 ГДЗ Виленкин Жохов 6 класс Часть 2, Просвещение (Математика)

Решение #1 (Учебник 2023)

Изображение Найдите неизвестный член пропорции:а) x/(-1,4) = (-7,3)/(-2,8);   б) (-8,4)/105 = (-12,6)/x;   в) (-2,5x)/14 = (1/7)/(-30);   г) (-7 1/2)/(4 1/2) = x/(3/25).Для...
Дополнительное изображение

Решение #2 (Учебник 2023)

Изображение Найдите неизвестный член пропорции:а) x/(-1,4) = (-7,3)/(-2,8);   б) (-8,4)/105 = (-12,6)/x;   в) (-2,5x)/14 = (1/7)/(-30);   г) (-7 1/2)/(4 1/2) = x/(3/25).Для...
Дополнительное изображение
Дополнительное изображение

Решение #3 (Учебник 2023)

Изображение Найдите неизвестный член пропорции:а) x/(-1,4) = (-7,3)/(-2,8);   б) (-8,4)/105 = (-12,6)/x;   в) (-2,5x)/14 = (1/7)/(-30);   г) (-7 1/2)/(4 1/2) = x/(3/25).Для...

Рассмотрим вариант решения задания из учебника Виленкин, Жохов, Чесноков 6 класс, Просвещение:
Найдите неизвестный член пропорции:
а) x/(-1,4) = (-7,3)/(-2,8); б) (-8,4)/105 = (-12,6)/x; в) (-2,5x)/14 = (1/7)/(-30); г) (-7 1/2)/(4 1/2) = x/(3/25).
Для того, чтобы найти неизвестный член пропорции используем то, что произведение крайних членов пропорции равно произведению её средних членов, и получаем уравнение, в котором неизвестен множитель.
Для того, чтобы найти неизвестный множитель, необходимо произведение разделить на известный множитель.
При выполнении вычислений опираемся на следующие правила:
- для того, чтобы найти частное двух отрицательных чисел, необходимо разделить модуль делимого на модуль делителя.
- для того, чтобы найти частное двух чисел с разными знаками, необходимо разделить модуль делимого на модуль делителя и поставить перед полученным числом знак «-».
- для того, чтобы перемножить два числа с разными знаками, необходимо умножить их модули и перед полученным произведением поставить знак «-».
- для того, чтобы перемножить два отрицательных числа, необходимо перемножить их модули.
- для того, чтобы разделить десятичную дробь на натуральное число, необходимо разделить дробь на это число, не обращая внимания на запятую; поставить в частном запятую, когда кончится деление целой части.
- для того, чтобы разделить одну дробь на другую, необходимо делимое умножить на число, обратное делителю, то есть у делителя нужно поменять местами числа, стоящие в числителе и знаменателе.
- для того, чтобы выполнить деление смешанных чисел, необходимо записать эти числа в виде неправильных дробей.
Для того, чтобы преобразовать смешанное число в неправильную дробь, необходимо целую часть числа умножить на знаменатель дробной части и к полученному произведению прибавить числитель дробной части; эту сумму записать как числитель неправильной дроби, а в её знаменатель записать знаменатель дробной части смешанного числа.
- произведением двух дробей является дробь, числитель которой равен произведению числителей, а знаменатель – произведению знаменателей.
Если возможно, при вычислениях выполняем сокращение.
а) x/(-1,4)=(-7,3)/(-2,8)
-2,8x=-1,4•(-7,3)
x=(1,4•7,3)/(-2,8)
x=-(14•73)/(28•10)
x=-(14•73)/(2•14•10)
x=-73/20
x=-(73•5)/(20•5)
x=-365/100
x=-3,65
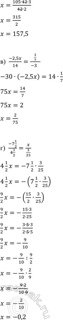
б) (-8,4)/105=(-12,6)/x
-8,4x=105•(-12,6)
x=(-(105•12,6))/(-8,4)
x=(105•126)/84
x=(105•42•3)/(42•2)
x=315/2
x=157,5
в) (-2,5x)/14=(1/7)/(-30)
-30•(-2,5x)=14•1/7
75x=14/7
75x=2
x=2/75
г) (-7 1/2)/(4 1/2)=x/(3/25)
4 1/2 x=-7 1/2•3/25
4 1/2 x=-(7 1/2•3/25)
9/2 x=-(15/2•3/25)
9/2 x=-(15•3)/(2•25)
9/2 x=-(3•5•3)/(2•5•5)
9/2 x=-9/10
x=-9/10 :9/2
x=-9/10•2/9
x=-(9•2)/(10•9)
x=-2/10
x=-0,2

*Цитирирование задания со ссылкой на учебник производится исключительно в учебных целях для лучшего понимания разбора решения задания.
*К сожалению, временные проблемы с публикацией комментариев с мобильных устройств.