Упр.4.106 ГДЗ Дорофеев Суворова 9 класс (Алгебра)
Решение #1

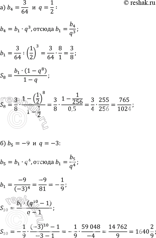
Рассмотрим вариант решения задания из учебника Дорофеев, Суворова, Бунимович 9 класс, Просвещение:
а) В геометрической прогрессии (b_n) b_4 = 3/64, q = 1/2. Найдите S_8.
б) Найдите сумму первых десяти членов геометрической прогрессии, если её пятый член равен -9, а знаменатель равен -3.
Популярные решебники 9 класс Все решебники
*К сожалению, временные проблемы с публикацией комментариев с мобильных устройств.