Упр.4.110 ГДЗ Дорофеев Суворова 9 класс (Алгебра)
Решение #1

Рассмотрим вариант решения задания из учебника Дорофеев, Суворова, Бунимович 9 класс, Просвещение:
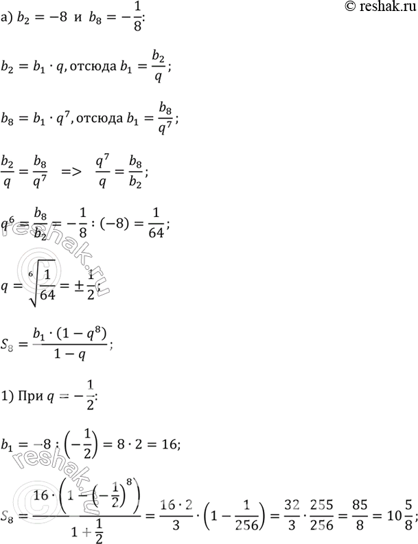
а) Найдите сумму первых восьми членов геометрической прогрессии (b_n), если известны два её члена: b_2 = -8 и b_8 = -1/8.
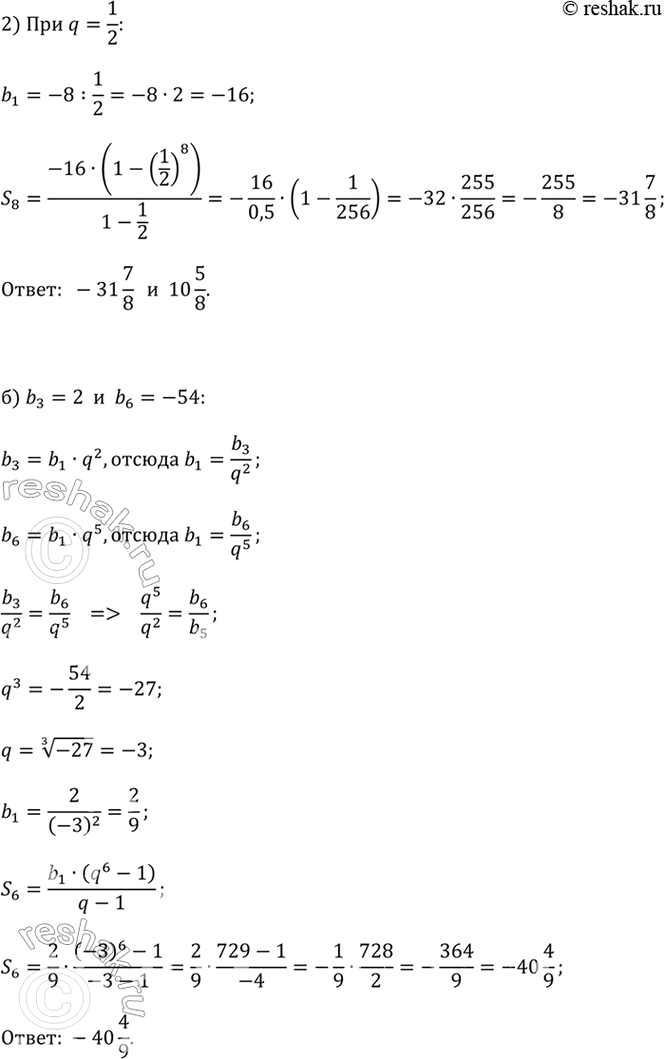
б) Известны два члена геометрической прогрессии (b_n): b_3 = 2, b_6 = -54. Найдите S_6.
Популярные решебники 9 класс Все решебники
*К сожалению, временные проблемы с публикацией комментариев с мобильных устройств.