Упр.4.109 ГДЗ Дорофеев Суворова 9 класс (Алгебра)
Решение #1

Рассмотрим вариант решения задания из учебника Дорофеев, Суворова, Бунимович 9 класс, Просвещение:
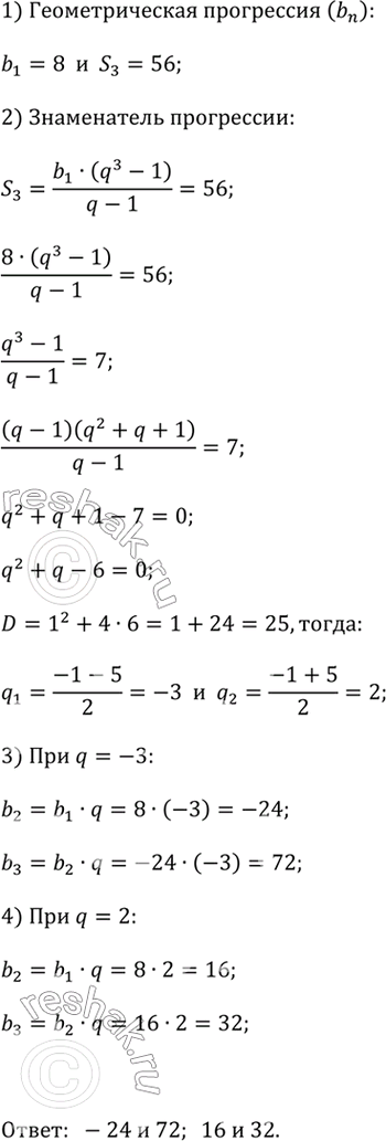
Известно, что три целых числа, сумма которых равна 56, составляют геометрическую прогрессию. Первое из этих чисел равно 8. Найдите два других числа.
Популярные решебники 9 класс Все решебники
*К сожалению, временные проблемы с публикацией комментариев с мобильных устройств.