Упр.39.5 ГДЗ Мерзляк 10 класс Углубленный уровень (Алгебра)
Решение #1

Рассмотрим вариант решения задания из учебника Мерзляк, Номировский, Поляков 10 класс, Просвещение:
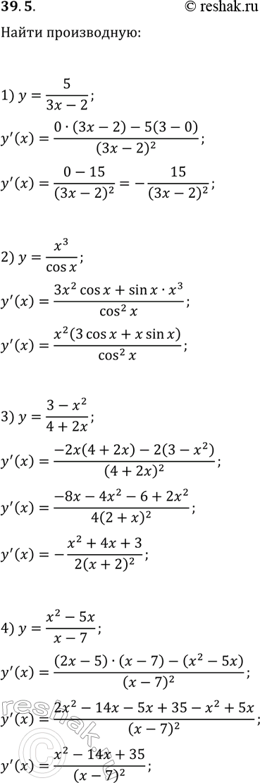
39.5. Найдите производную функции:
1) y=5/(3x-2); 3) y=(3-x^2)/(4+2x);
2) y=x^3/cos(x); 4) y=(x^2-5x)/(x-7).
Похожие решебники
Популярные решебники 10 класс Все решебники
*размещая тексты в комментариях ниже, вы автоматически соглашаетесь с пользовательским соглашением