Упр.39.2 ГДЗ Мерзляк 10 класс Углубленный уровень (Алгебра)
Решение #1

Рассмотрим вариант решения задания из учебника Мерзляк, Номировский, Поляков 10 класс, Просвещение:
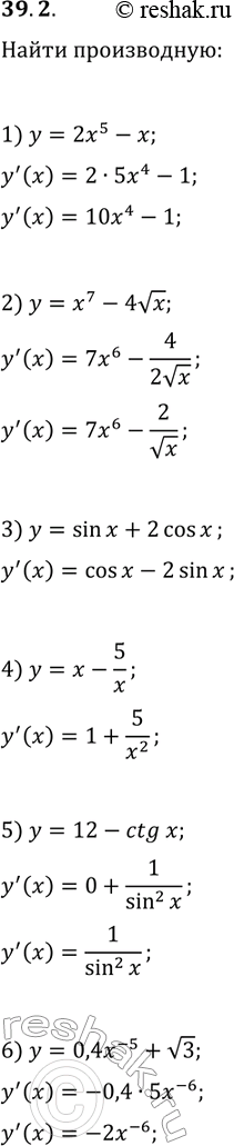
39.2. Найдите производную функции:
1) y=2x^5-x; 4) y=x-5/x;
2) y=x^7-4vx; 5) y=12-ctg(x);
3) y=sin(x)+2cos(x); 6) y=0,4x^(-5)+v3.
Похожие решебники
Популярные решебники 10 класс Все решебники
*размещая тексты в комментариях ниже, вы автоматически соглашаетесь с пользовательским соглашением