Упр.39.10 ГДЗ Мерзляк 10 класс Углубленный уровень (Алгебра)
Решение #1

Рассмотрим вариант решения задания из учебника Мерзляк, Номировский, Поляков 10 класс, Просвещение:
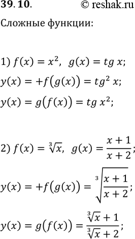
39.10. Задайте с помощью формул сложные функции y=f(g(x)) и y=g(f(x)), если:
1) f(x)=x^2, g(x)=tg(x); 2) f(x)=x^(1/3), g(x)=(x+1)/(x+2).
Похожие решебники
Популярные решебники 10 класс Все решебники
*размещая тексты в комментариях ниже, вы автоматически соглашаетесь с пользовательским соглашением