Упр.39.4 ГДЗ Мерзляк 10 класс Углубленный уровень (Алгебра)
Решение #1

Рассмотрим вариант решения задания из учебника Мерзляк, Номировский, Поляков 10 класс, Просвещение:
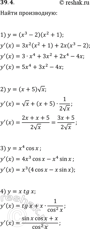
39.4. Найдите производную функции:
1) y=(x^3-2)(x^2+1); 3) y=x^4 cos(x);
2) y=(x+5)vx; 4) y=x tg(x).
Похожие решебники
Популярные решебники 10 класс Все решебники
*размещая тексты в комментариях ниже, вы автоматически соглашаетесь с пользовательским соглашением