Упр.39.3 ГДЗ Мерзляк 10 класс Углубленный уровень (Алгебра)
Решение #1

Рассмотрим вариант решения задания из учебника Мерзляк, Номировский, Поляков 10 класс, Просвещение:
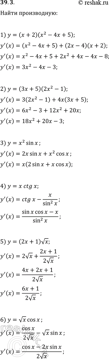
39.3. Найдите производную функции:
1) y=(x+2)(x^2-4x+5); 4) y=x ctg(x);
2) y=(3x+5)(2x^2-1); 5) y=(2x+1)vx;
3) y=x^2 sin(x); 6) y=vx cos(x).
Похожие решебники
Популярные решебники 10 класс Все решебники
*размещая тексты в комментариях ниже, вы автоматически соглашаетесь с пользовательским соглашением