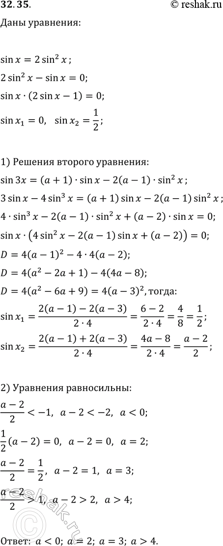
Упр.32.35 ГДЗ Мерзляк 10 класс Углубленный уровень (Алгебра)
Решение #1

Рассмотрим вариант решения задания из учебника Мерзляк, Номировский, Поляков 10 класс, Просвещение:
32.35. При каких значениях параметра а уравнения sin(x)=2sin^2(x) и sin(3x)=(a+1)sin(x)-2(a-1)sin^2(x) равносильны?
Похожие решебники
Популярные решебники 10 класс Все решебники
*размещая тексты в комментариях ниже, вы автоматически соглашаетесь с пользовательским соглашением